2022.08.22
「ミトコンドリアを介した褐⾊脂肪細胞の⾃⼰活性化・脂肪燃焼メカニズムを発⾒ 〜 新しいアプローチによる肥満治療薬開発への期待 〜 」(臨床検査医学分野 康 東天名誉教授・検査部 瀬戸山 大樹助教・臨床検査医学 藤井 雅⼀ ⾮常勤講師)
〜 新しいアプローチによる肥満治療薬開発への期待 〜
- ① 肥満は⽣活習慣病、動脈硬化性疾患および癌の発症にも関連しており、根治を⽬指すべき疾患と考えられますが、安全性・有効性が保証された根本的治療法は依然確⽴していません。
- ② 本研究では活性化したミトコンドリア機能を有する褐⾊脂肪細胞が細胞外⼩胞(エクソソーム)の分泌を促進し、⾃⾝および周囲の細胞がそれらを取り込んで持続的に⾃⼰活性化するというメカニズムを世界で初めて明らかにしました。
- ③ 今後、細胞外⼩胞(エクソソームなど)そのものや、その⼩胞分泌機構をターゲットとする根本的な肥満治療薬の開発につながることが期待されます。
糖尿病・⼼筋梗塞・脳梗塞等の原因である肥満は、現在減量以外に根本的な治療法がありません。社会背景からもリモートワークが普及している現代では、変化するライフスタイルによって⽇常⽣活の活動量は減少し、肥満症が増加していくことが強く懸念されています。そのため根本的な肥満解消を⽬指す新しい治療法の開発が望まれるところです。
本研究では、脂肪を燃焼して熱を産⽣する褐⾊脂肪細胞を活性化させるメカニズムの研究に取り組み、活性化を促進する因⼦を褐⾊脂肪細胞⾃⾝で分泌し利⽤することで、持続的に脂肪燃焼を可能とする新たな仕組みを解明しました。 九州⼤学⼤学院医学研究院臨床検査医学の藤井雅⼀ ⾮常勤講師、病院検査部の瀬⼾⼭⼤樹 助教、康東天 名誉教授らの研究チームは、ミトコンドリアに存在する(※1) TFAM(ミトコンドリア転写因⼦A)というタンパク質を過剰発現させたマウスには強⼒な抗肥満効果が存在することを⽰し、更にそのメカニズムについて解明していきました。今回、TFAM⾼発現ホモマウス(TgTg)由来の褐⾊脂肪細胞は、野⽣型(WT)マウス由来の細胞と⽐較してミトコンドリア機能が活性化しており、より多くの(※2)エクソソームを分泌することを明らかにしました。また、WT由来の褐⾊脂肪細胞にTgTg細胞由来の培養液から抽出したエクソソームを加えて培養すると、エクソソーム濃度に応じて褐⾊脂肪細胞が活性化(⾃⼰分化)することも明らかになりました。更に驚くべきことに、TgTgマウスの褐⾊脂肪細胞をWTマウスに移植すると、⾼脂肪⾷摂取に対する著明な体重増加抑制が認められ、強⼒な抗肥満効果を⽰すことがわかりました。
今回の検討により、⽣体内に⽣理的に存在するエクソソームによる褐⾊脂肪細胞活性化メカニズムが解明されたことで、肥満治療に求められる安全性・有効性という重要な条件を満たす新たな治療戦略が⽰されることとなりました。今後、エクソソームを始めとする細胞外⼩胞の分泌促進に寄与するミトコンドリア活性化剤や安定的なエクソソーム回収法の確⽴等により、根治的肥満治療法の開発へ⼤きく貢献するものと考えられます。
本研究成果は、2022年8⽉10⽇に、国際学術誌「 iScience 」に掲載されました。

肥満は単なる“危険因⼦”ではなく健康・⽣命を脅かす肥満症と認識すべきであり、その根治的治療法を開発していくことが喫緊の課題と考えられます。しかし、我が国では⼈⼝の約25%が肥満・約0.05%が病的肥満患者と⾔われその罹患率は増加の⼀途を辿っています。褐⾊脂肪組織は新⽣児の体温を維持すために機能し成⼈には存在しないと考えられていましたが、2009年にPET-CTを⽤いることで、成⼈における存在が明らかにされました。それ以降褐⾊脂肪細胞の活性化に焦点をあてた研究が多く試みられています。唐⾟⼦の成分でもあるカプサイシン、過活動膀胱の治療薬など既存の物質での活性化実績はあるもののそれらの副作⽤が問題となり、現時点で肥満治療薬として実⽤化にはいたっていません。したがって安全性および有効性が担保される肥満治療薬の開発が求められています。当研究室では強⼒な抗肥満効果を⽰しているTgTgマウスに着⽬し(図1)、本マウスで著明に活性化している褐⾊脂肪細胞の活性化メカニズムの詳細を検討し、根治的肥満治療薬開発への応⽤を⽬指して研究を進めてきました。

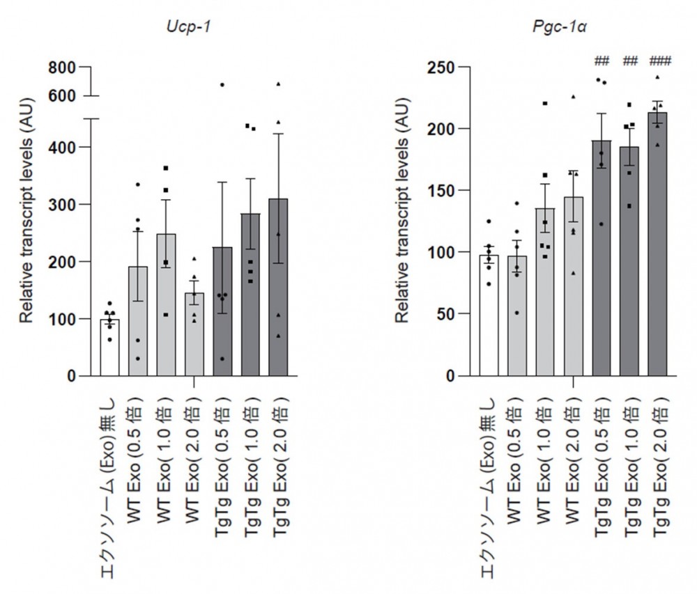
図2 褐⾊脂肪細胞活性化を⽰す熱産⽣関連 タンパク質(UCP-1, PGC-1α)発現はTgTg マウスで発現亢進している。 強⼒な抗肥満効果を有するTgTgマウスの褐⾊脂肪細胞ではWTマウスと⽐較してミトコンドリア機能が亢進しており、それに伴い褐⾊脂肪細胞活性化に必要な蛋⽩発現が上昇していることが分かりました(図2)。次にTgTgマウス由来の褐⾊脂肪細胞⾃体が抗肥満効果に影響を及ぼしていることを確認するため、TgTgマウス褐⾊脂肪細胞を抽出・培養し、WTマウスの褐⾊脂肪組織付近の⽪下に移植したところ、⾼脂肪⾷摂⾷下においても体重増加抑制が認められました。
図3 TgTg 由来の褐⾊脂肪細胞はWT 由来よりも著明に多くのエクソソームを分泌している。 そこでTgTg 由来とWT由来の褐⾊脂肪細胞に培養液を交通させて共培養を⾏ったところ、WT由来の細胞においてでも褐⾊脂肪細胞が活性化していました。興味深いことに、TgTg由来褐⾊脂肪細胞ではミトコンドリア機能の亢進によりエクソソームの細胞外への分泌が著明に増加していることが今回確認されました(図3)。したがって、この過剰分泌されたエクソソームがWT由来の細胞に培養液を通じて到達し、活性化に寄与しているという新しい褐⾊脂肪細胞活性化のメカニズムが今回の研究で明らかになりました。

(※1) TFAM(mitochondrial transcription factor A : ミトコンドリア転写因⼦A)
TFAM のほとんどはミトコンドリアDNA と結合して存在している。TFAM はミトコンドリア(mt)DNA配列⾮特異的に結合することでmtDNA を凝縮する働きがある⼀⽅で、配列特異的に結合して転写因⼦としても働いている。このようにTFAM にはmtDNA の構造維持・転写・修復・複製などに関与していると⾔われているが、依然明らかとなっていない作⽤があると考えられている。
(※2) エクソソーム
細胞から分泌される直径50-150 nm の顆粒状の物質。エクソソームには様々なタンパク質・脂質・RNA が含まれており、別の細胞に運搬されることによって機能的変化や⽣理的変化を引き起こす。
(※3) PGC-1α(ペルオキシソーム増殖因⼦活性化受容体γコアクチベーター1α)
エネルギー産⽣や熱消費にかかわる多くの遺伝⼦発現を制御する。
(※4) UCP-1(Uncoupling protein 1 : 脱共役蛋⽩質1)
ミトコンドリア内膜に存在するプロトンチャネルであり, ATP 合成を脱共役して熱を産⽣する。
本研究はJSPS科研費 (JP20H00530, JP17H01550)の助成を受けたものです。
【論⽂情報】
タイトル:TFAM expression in brown adipocytes confers obesity resistance by secreting extracellular vesicles that promote self-activation
著者名:Masakazu Fujii, Daiki Setoyama, Kazuhito Gotoh, Yushi Dozono, Mikako Yagi, Masataka Ikeda, Tomomi Ide, Takeshi Uchiumi, Dongchon Kang
掲載誌:iScience
DOI:https://doi.org/10.1016/j.isci.2022.104889
